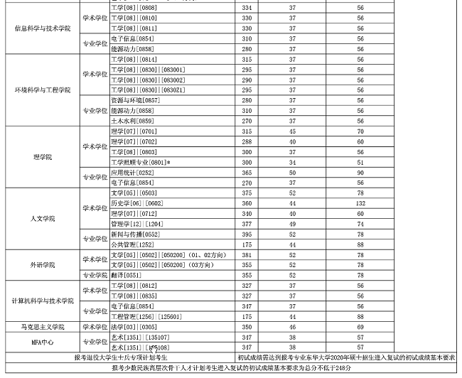
东华大学2020年MPAcc复试分数线
中国会计硕士网
2020年04月21日


说明:
1、达到复试基本要求的考生,务必于4月23日16:00前登录东华大学研究生招生网——学生平台(用户名为身份证号,密码为15位考生编号),确认复试资格、参与问卷调查。
2、我校严格执行2020年全国硕士研究生招生考试的初试总分加分政策,按教育部规定可享受初试总分加分政策的考生,须在4月27日前向我校研究生招生办公室提交书面证明材料。
3、受疫情影响,今年的复试工作相比往年可能会有一定的变化。在保护师生健康与安全的前提下,我校将科学合理制定本校和各院系的研究生招生复试方案。复试时间原则上不早于5月9日。复试方式原则上采取网络远程复试形式。具体的复试日期、复试录取办法及考生操作规程将根据上海市疫情防控工作部署和上级主管部门要求制定,另行通知。
4、请广大考生密切关注东华大学研究生招生网及“东华研招”官方微信公众号,耐心等待通知。
版权声明:本文内容整理自东华大学研究生院,如有侵权请电话联系17800253047。
更多院校会计硕士(MPAcc)项目招生信息请戳链接:http://yuanxiao.mpacc.cc/
相关推荐